
R Type Gasket
The Ring Type Joint Gasket is initially developed for high pressure/ temperature applications found in the petroleum industry and is primarily used in the oilfield on drilling and completion equipment.
However, today this product range can also be found on valves and pipe work assemblies, along with some high integrity pressure vessel joints.
Style R gaskets are manufactured in accordance with both API 6A and ASME B16.20 to suit API 6B and ASME/ANSI B16.5 flanges. Available in both oval and octagonal configurations, both types are interchangeable on modern octagonal type grooved flanges.
Pressure: 2,000-5,000 PSI
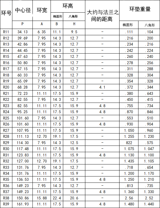
DIMENSIONAL DATA – STYLE R

TOLERANCES:(mm)
A(width of ring )
±0.20
B,H (height of ring)
±0.5
P(average pitch
diameter of ring)
±0.18
23°(angle)
±1/2°
Flexftallic Style R Ring Type Jonints can be manufactured in accordance with all relevant standards to suit the following flange designations
API6A
ASME/ANSI B16.5
MSS SP44 (ASME B16.47 SERIES A)
BS 1560






#ring joint gasket # metal ring joint #ring sealing # rtj sealing #metal seling #vavle part
