

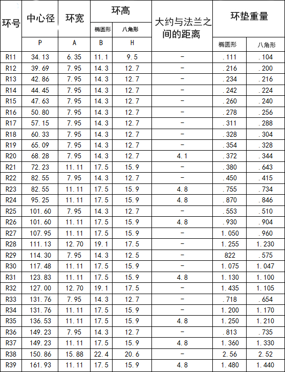
R型垫圈
环式接头垫片最初是为石油工业中高压/高温应用而开发的,主要用于油田的钻井完井设备。
然而,今天这个产品系列也可以在阀门和管道工作装置上找到,还有一些高完整性的压力容器接头。
R型垫片的制造符合API 6A、6B和ASME b16.20适合API ASME/ANSI B16.5法兰。在椭圆形和八角形配置,这两种类型是可互换的现代八角型槽法兰。
压力:2000-5000 PSI
公差:(mm)
A(环的宽度)±0.20
b,H(环的高度)±0.5
P平均螺距(环的直径)±0.18
23°(角)
1/2°
flexftallic风格R环式节点可以制造符合有关标准符合以下法兰代号
API6A
ASME/ANSI B16.5
MSS SP44(ASME B16.47系列)
BS 1560






#ring joint gasket # metal ring joint #ring sealing # rtj sealing #metal seling #vavle part
